虾青素
Astaxanthin
韵邦
产品编号:
CAS No.:
品牌:
外观:
分子式:
分子量:
选择规格
25mg 100mg 1g
产品库存
充足
目录价格
¥50.00
会员价格
产品库存
充足
目录价格
¥105.00
会员价格
产品库存
充足
目录价格
¥225.00
会员价格
选择数量
- +
基本信息
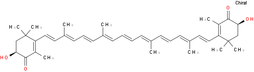
中文名称虾青素
英文名称 Astaxanthin
中文别名3,3'-二羟基-beta,beta-胡萝卜素-4,4'-二酮
CAS号472-61-7
分子式C40H52O4
分子量596.84
外观pink to very dark purple powder
MDLMFCD00672621
熔点215-216 °C(lit.)
沸点568.55°C(lit.)
储存条件避光,-20°C储存,充氩
安全信息
标识符号
安全说明S24/25;S26;S36;
危险类别码R20/21/22;R36/37/38;
相关文献
相关产品
D-异抗坏血酸钠 一水合物
维生素 B5
维生素 E 琥珀酸酯
盐酸硫胺
D-α-生育酚
烟酰胺
beta-胡萝卜素
烟酸
维生素B2
肌醇
浏览记录
双(2-羟乙基)氨基(三羟甲基)甲烷
H-甘氨酸-脯氨酸-精氨酸-脯氨酸-OH乙酸盐
重组人白细胞介素-2蛋白
四双(4-氯苯基)硼酸钾
虾青素
叔丁醇锂
肌醇
3-(环己氨基)-1-丙磺酸钠
EDTA溶液
益母草碱