螺旋霉素
Spiramycin
韵邦
产品编号:
CAS No.:
品牌:
外观:
分子式:
分子量:
选择规格
1g 5g 25g
产品库存
充足
目录价格
¥120.00
会员价格
产品库存
充足
目录价格
¥350.00
会员价格
产品库存
充足
目录价格
¥1150.00
会员价格
选择数量
- +
基本信息
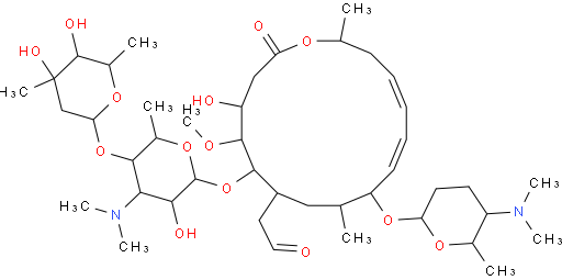
中文名称螺旋霉素
英文名称 Spiramycin
中文别名白黴素A1、白素A1、螺旋霉素溶液
CAS号8025-81-8
分子式Unspecified
分子量843.053
外观white or slightly yellow powder
MDLMFCD01314545
熔点126-128 °C(lit.)
沸点914℃(lit.)
储存条件2-8°C储存
安全信息
标识符号
安全说明S26;S36;S24/25
危险类别码R36/37/38
相关文献
相关产品
去甲氧基姜黄素
万古霉素
莫能菌素钠盐
醋酸卡泊芬净
盐酸二甲胺四环素
氯沙坦钾
硫酸多粘菌素B
两性霉素B
beta-谷甾醇
链脲菌素
浏览记录
螺旋霉素